专业概况:
本专业开办于2013年,模具设计与制造专业为全国机械行业现代模具人才培养联盟试点专业。拥有先进的校内模具实训基地,各类国内先进的实验、实训设备。按要求配备有钳工实训室、金工实训室、模具数字化设计实训室、数控加工及电加工实训室、模具拆装与调试实训室、精密测量实室。可实现从设计到制造到装配试模加工全流程的教学与实训工作。
人才培养目标:
本专业培养理想信念坚定,德、智、体、美、劳全面发展,具有一定的科学文化水平,良好的人文素养、职业道德和创新意识,精益求精的工匠精神,较强的就业能力和可持续发展的能力;掌握本专业知识和技术技能,面向专用设备制造业的机械工程技术人员、工装工具制造人员等职业群,能够从事模具设计、成形(型)工艺、数控编程、产品检验和质量管理工作的高素质技术技能人才。
主干课程:
模具识图、AUTOCAD、零件公差与检测技术、数控编程与加工、数控特种加工、模具制造工艺及设备、模具价格估算与营销、模具钳工工艺、模具材料与表面处理、冲压工艺及模具设计、塑料成型工艺与模具设计、UG三维建模、模具设计、模具自动加工技术、金工实训、模具数控加工实训、模具设计与制造综合实训、顶岗实习等。
就业面向:
本专业主要面向机械、汽车、电子、轻工、玩具等行业,从事金属冲压及塑料制品的成型工艺制订;模具设计与制造;冲压机械的使用和维护,模具产品的销售及生产技术管理等工作。
主要就业单位:模具设计与制造企业、冲压与塑料成型机械制造企业、精密零件加工企业。
主要就业部门:生产部、设计部、售后服务部、销售部、工艺工程部、质检部或技术开发部。
可从事的工作岗位:模具数控编程加工、模具三维设计、模具加工生产、模具装配与维修、模具销售与技术服务,以及车间生产组织与技术管理等。
什么是模具:
模具(mújù),工业生产上用以注塑、吹塑、挤出、压铸或锻压成型、冶炼、冲压等方法得到所需产品的各种模子和工具。简而言之,模具是用来成型物品的工具,这种工具由各种零件构成,不同的模具由不同的零件构成。它主要通过所成型材料物理状态的改变来实现物品外形的加工。素有“工业之母”的称号。
广泛用于冲裁、模锻、冷镦、挤压、粉末冶金件压制、压力铸造,以及工程塑料、橡胶、陶瓷等制品的压塑或注塑的成形加工中。模具是精密工具,形状复杂,承受坯料的胀力,对结构强度、刚度、表面硬度、表面粗糙度和加工精度都有较高要求,模具生产的发展水平是机械制造水平的重要标志之一。
模具工业是技术密集型产业,人才是行业发展的关键。随着我国模具工业的迅猛蓬勃发民,对技术人才需求量缺口很大.企业十分渴求专业扎实的技术人才,这主要包括模具设计与制造,工艺编制等技术人员;也包括专业技术工人(高级蓝领),高级模具钳工、模具维修调试人员及加工中心编程、操作、维修人员。

注塑模3D设计图(学生作品)

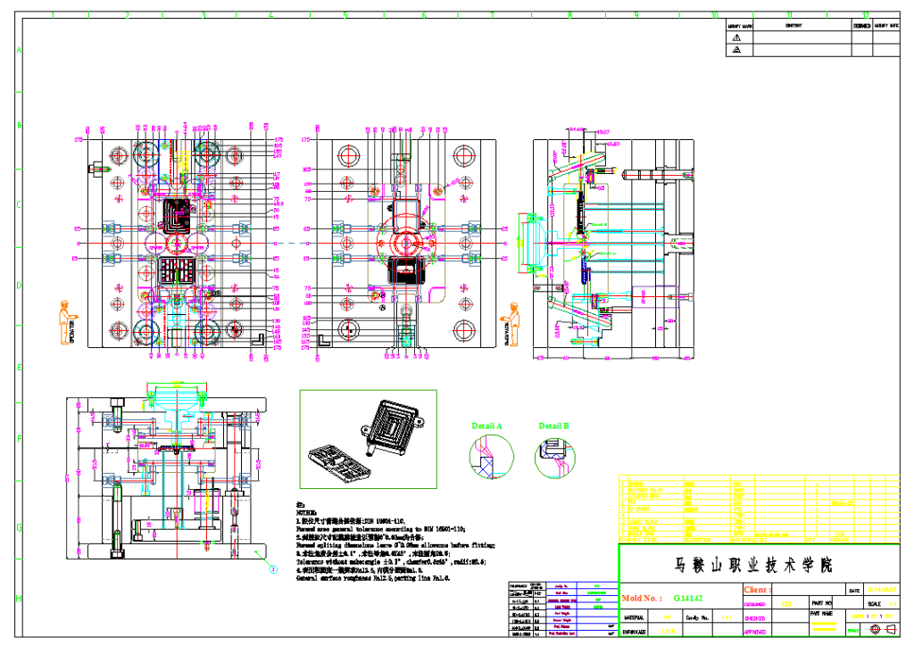
模具2D排位图(学生作品)

2014年安徽省“注塑模具CADCAE与主要零部件加工赛项”一等奖

2019年中国技能大赛—第三届全国智能制造应用技术技能大赛模具工赛项目全国二等奖